学习文章
【技术指标教學】随机震荡指标的买卖法则
随机震荡指标是常用的技术分析工具,几乎所有的交易平台都有这个技术指标,世界各地的交易员广泛使用该指标。它是由著名的技术分析师George Lane开发的,他的假设是在上升走势中收盘价趋于接近K线的高端,而在下跌走势中收盘价趋向于接近K线的低端。同样地随机震荡技术指标决定了在选定的时间段内收盘价格相对于特定价格区间的位置。在上升趋势中,收盘价趋于接近价格区间的顶部,而在下降趋势中,价格接近底部。随机震荡指标由两条线组成:%K和%D。主要的信号使用%D产生。

1. 快速随机指标计算公式

随机指标最常用的周期是5和14。在市场大幅波动期间,使用5或9的周期,其余市场普遍使用14为周期。

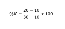
假设周期为5,最高的高点为30,最低的低点为10,当前收盘价为20,可以用上面的公式计算%K线:


%K决定了价格收盘水平与一段时期内K线波动区间的关系。例如,如果读数高于80,则表明当前收盘价接近区间的最高的高点,即过去5日内的最高价格。另一方面,如果该指数低于20,则意味着该指数的收盘价接近区间的最低的低点,即过去5日内的最低价。

第二条线,%D,通过平滑%K来估算。简而言之,它是%K的3个周期简单移动平均线:
%D = SMA (%K,3)
这被称为快速随机指标。
2. 慢速随机指标
快速随机产生早期信号,很多交易员希望对%K和%D线进行进一步平滑。
对%D和%K再进行3个周期简单移动平均,计算慢速随机指标的公式如下:
%K = SMA(%K,3)
%D = SMA(%D,3)
随机震荡指标的范围在0到100之间。读数为0意味着最新收盘价等于所选时间段内价格区间的最低价。

读数为100表示最新收盘价等于选定时间段内价格区间的最高价格。

该指标高于80被认为是市场已达到极度超买水平的迹象,而低于20则表明市场已跌至极读超卖水平。
3. 买入和卖出信号
当%K和%D线都下降且下穿20超卖线时,就会产生买入信号。如果要进一步确认信号,交易员也可以等待%D线升至20以上。

相反,当%K和%D线上升并上穿超买线80时,就会产生卖出信号。如果要进一步确认信号,交易员可等到%D跌至80下方。值得一提的是,一些交易员等待%K而不是%D跌破超买水平或高于超卖水平,然后才开始入场。同样,为了得到更快速的信号,交易员关注%K线,而不是较慢的%D线。

除了20和80的极端水平,交易员有时也会使用30和70的水平。当趋势跟踪指标在横向盘整市场中失灵时,随机震荡指标可能及时发出信号。
4. 随机指标和背离
随机震荡指标除了在0到100之间的振荡以及穿越快线(%K)和慢线(%D)可产生信号外,背离也可用于释放信号。
当慢线(%D)升至80以上且形成两个连续下降顶部,同时价格继续上涨时,就会产生看跌背离。同样地,当%K和%D均跌破20超卖水平且%D形成两个连续上升的底部,同时价格继续下跌时,就会产生看涨背离。

5. 随机指标和RSI指标结合运用
随机震荡指标也可与常用的相对强弱指标(RSI)结合使用,以获得更精确的信号和预警。
例如,如果RSI位于70以上的超买区,%K和%D上穿80,那么预示价格图表上可能即将出现转折点。

反之,如果随机指标跌破20超卖水平,而RSI也低于30,那么可能预示看涨反转。
结论
无论是初学者,还是资深交易员,都适合使用随机震荡技术指标,并以此作为买卖法则。随机震荡技术指标在趋势市场和区间波动市场都很有用,因为它能产生各类信号。在横盘整理行情中,随机指标上穿超买水平或下穿超卖水平更为常见;在趋势市场中,震荡指标和价格之间的背离(正背离或负背离)可能更常见。值得注意的是,当技术指标和震荡指标与其他指标(尤其是价格本身)结合在一起时,它们将能更好地协助您分析市场,以及掌握交易机会。
更多學習資源
免责声明: 本书面/视觉材料包含个人的观点和想法。其内容不应被理解为包含任何类型的投资建议和/或任何交易的邀约。它并不意味着有义务购买投资服务,也不保证或预测未来的表现。FXTM富拓及其附属公司、代理人、董事、高级职员或雇员不保证提供的任何信息或数据的准确性、有效性、及时性或完整性,也不对基于这些信息或数据的任何投资所产生的任何损失承担任何责任。
风险警告: 交易外汇和差价合约等杠杆产品含有高风险。您所承担的风险不应高于您的承受能力,您的损失可能会高于您的初始投资。除非您完全了解您所承受的亏损风险,否则不应进行交易。在交易时,您必须时刻考虑到您的经验水平。如果您不清楚所涉及的风险,请寻求独立的财务建议。